Acum la Digi FM Audiență Națională LIVE - ON AIR
Vrei să asculți mai ușor? Descarcă aplicația Digi FM

Simulare Bac 2026 Matematică: Ce subiecte au picat la profilul Real și Tehnologic. Baremul de corectare se publică la ora 15:00 pe edu.ro

A,Close-up,Shot,Of,A,Hand,And,A,Sheet,Of
Examen, Bacalaureat. Foto: Shutterstock

Emoții la cote maxime pentru elevii claselor a XII-a și a XIII-a, care au susținut astăzi a doua probă a Simulării de Bacalaureat 2026. Subiectele la Matematică pentru profilurile Mate-Info, Științele Naturii și Tehnologic au fost deja intens discutate la ieșirea din săli. Află la ce oră se afișează baremul oficial și care au fost cele mai dificile exerciții de astăzi.

Subiectele la Matematică: De la M1 la Tehnologic

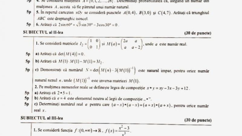
Elevii au avut la dispoziție trei ore pentru a rezolva cele trei subiecte obligatorii. Ca în fiecare an, miza a fost reprezentată de Subiectul al III-lea, unde analiza matematică și algebra abstractă au testat cunoștințele viitorilor absolvenți,  potrivit edupedu.ro.

  • Profilul Real (Mate-Info - M1): Subiectele au vizat funcțiile derivabile și legile de compoziție.

  • Profilul Științele Naturii (M2): Accentul a fost pus pe calculul integral și matrice.

  • Profilul Tehnologic: Elevii au avut de rezolvat ecuații exponențiale și logaritmice la primul subiect.

Toate simulările respectă regulile stricte de notare: se acordă 10 puncte din oficiu , iar nota finală se calculează prin împărțirea punctajului total la zece. 

subiecte simulare mate tehnologic subiecte simulare mate tehnologic 1

Barem Bac 2026 Matematică: Când apar rezolvările oficiale?

Ministerul Educației va publica baremele de corectare pentru toate profilurile (Mate-Info, Științele Naturii, Tehnologic și Pedagogic) astăzi, la ora 15:00. Imediat ce documentele vor fi disponibile pe edu.ro, le veți putea descărca de pe DigiFM.ro pentru a vă calcula nota estimativă.

Examen sub spectrul boicotului profesorilor

La fel ca la proba de Limba Română, desfășurarea examenului de astăzi a fost afectată de greva și boicotul cadrelor didactice în anumite județe. Potrivit informațiilor din sistem, peste 60 de licee au fost vizate de acțiuni de protest, privând mulți elevi de posibilitatea de a-și testa nivelul de pregătire înainte de examenul din vară.

Calendar Simulare Bacalaureat 2026:

  • 25 martie: Proba la alegere a profilului și specializării.

  • 26 martie: Limba și literatura maternă.

  • 31 martie: Afișarea rezultatelor (notele se pot trece în catalog doar la cererea elevului).

Ascultă Digi FM Live, pentru cele mai noi știri, la fiecare 30 de minute.
Ca să știi!

Puteţi urmări Știrile Digi FM şi pe Google News şi WhatsApp!

Vrei să asculți mai ușor?
Descarcă aplicația Digi FM
Recomandări DigiFM
PETRECEREA LUI DAN T 2025
Petrecerea lui DanT – Mix Maraton 2026 - Part 7
kim kardashian lewis hamilton
Lewis Hamilton și Kim Kardashian, surprinși împreună la Tokyo...
Prognoză meteo Paște 2026
Vremea de Florii și Paște 2026: ANM anunță o răcire bruscă și ploi...
Alexandru Nazare, ministrul Finanțelor
Cine este și cu ce se ocupă logodnica lui Alexandru Nazare, ministrul...
Pe aceeași temă
examen, test, bacalaureat (2)
Subiecte și Barem Simulare Bac 2026 Română: Lucian Blaga și Ion Barbu la Subiectul 3
examen, test, bacalaureat (2)
Calendar simulare Bac 2026. Când sunt programate examenele
Partenerii noștri
Digi24 Premierul slovac Fico pretinde că are imagini „secrete” din satelit cu conducta Drujba neavariată și îl acuză pe Zelenski că minte
Premierul slovac Fico pretinde că are imagini „secrete” din satelit cu...
DigiSport 10.000.000€ pentru transferul lui Ionuț Radu
10.000.000€ pentru transferul lui Ionuț Radu
PeRoz Patru zodii trec printr-o perioadă dificilă. Astrologii spun că este ultimul test înainte de abundență
Patru zodii trec printr-o perioadă dificilă. Astrologii spun că este...
Film Now Emma Watson, surprinsă în timp ce se săruta cu noul iubit. Cine e miliardarul cu care a fost pozată în tandrețuri în aeroport
Emma Watson, surprinsă în timp ce se săruta cu noul iubit. Cine e...
Digi World Poți fi dependent de scroll? Ce spune neuroștiința despre dopamină și rețelele sociale
Poți fi dependent de scroll? Ce spune neuroștiința despre dopamină și...
Stirile Kanal D Cu ce româncă celebră s-a iubit regizorul din spatele documentarului despre Melania Trump. A și fost logodit cu ea
Cu ce româncă celebră s-a iubit regizorul din spatele documentarului...
ProFM Alexandra Căpitănescu, înainte de Eurovision: lacrimi, rock și multă muncă
Alexandra Căpitănescu, înainte de Eurovision: lacrimi, rock și multă muncă
Digi Life Dormitul până târziu în weekend îți poate afecta sănătatea. Care este numărul exact de ore de somn recomandat
Dormitul până târziu în weekend îți poate afecta sănătatea. Care este...
Ultimele știri din matinal
antonia si liviu22
Antonia și Liviu Teodorescu, nebunie în studioul Digi FM: "A la long" - colaborarea pe care...
craioveanu marius sava c1b68d54-7272-45e1-b73f-427e6c013cd9
Mituri despre frig, alcool și somn + adevărul despre sforăit și apneea în somn | Dr. Marius...
bogdan farcas
Bogdan Farcaș, de la „mafiotul” din Clanul la Harap Alb: Pentru o scenă de 3 secunde, m-am...
tudor ionescu - flyproject
Tudor de la Fly Project dezvăluie cum a creat noul hit 'Lonely' și de ce singurătatea îl...
Ultimele știri
President Trump Attends Memphis Safe Task Force Roundtable In Tennessee
„Cine e mai cunoscut decât el? Nimeni!” Donald Trump, uimit de ce a descoperit la Graceland...
67th Annual GRAMMY Awards - Show
Shakira revine în Spania după opt ani. Artista va avea propriul stadion la Madrid, unde va...
Și-a vândut casa cu ajutorul lui ChatGPT și a câștigat cu 100.000 $ mai mult/ Profimedia
Și-a vândut casa cu ajutorul lui ChatGPT și a câștigat cu 100.000 $ mai mult. Ce l-a sfătuit...
Toți profesorii vor fi evaluați psihiatric înainte de angajare, din 2026/ Profimedia
Regulă nouă în educație. Toți profesorii vor fi evaluați psihiatric înainte de angajare, din...